Obtención de AGNPS (nanopartículas de plata) vía síntesis verde con extracto de marcela (achyrocline satureioides), catálisis con actividad microbiana y antioxidante
Obtaining AGNPS (silver nanoparticles) via green synthesis with marcella (achyrocline satureioides) extract, catalysis with microbial and antioxidant activity
Luis Felipe Zalamea Molina [1] * ; Jenniffer Andreina Chila Álvarez [2]; Irina Suley Menéndez Realpe [3]
Recibido: 02/07/2020 – Recibido en forma revisada: 29/08/2020 -- Aceptado: 26/11/2020
*Autor para la correspondencia.
Resumen
Síntesis verde de NPs de plata, oro, cobre, son motivo de estudio investigativo que se realizan en la actualidad en la India, Indonesia y Ecuador como es el caso del presente trabajo a partir de extracto de Marcela (Achyrocline satureioides) y nitrato de plata. La metodología utilizada en la obtención de NPsAg es vía síntesis verde que se realizó con métodos de reducción iónica de los componentes químicos polifenoles y flavonoides como: ácido cafeico, ésteres de galangin-3-metil éter, quercetina; luteolina; 3-metoxi-quercetina y un nuevo chalcone: achyrobichalcone. Estos métodos de identificación y caracterización de los componentes orgánicos iónicos, se realizaron espectrofotometría UV-Vis y SEM (microscopia de barrido electrónico). Los tamaños de NPs que se encontraron en su forma esférica, con un diámetro de 10-15nm. El resultado obtenido de la actividad antimicrobiana con las cepas E. coli y S. auerus dando como resultado un halo de inhibición de 3.00 a 3.098 y 3.12 a 2.05 respectivamente.
Palabras claves
Achyrocline satureioides, Nanopartículas de plata, Agente reductor, Flavonoide.
Abstract
Green synthesis of NPs of silver, gold, copper, are a subject of investigative study that are currently carried out in India, Indonesia and Ecuador as is the case of this work from extract of Marcela (Achyrocline satureioides) and silver nitrate. The methodology used in obtaining NPsAg is via green synthesis that was performed with ionic reduction methods of the chemical components polyphenols and flavonoids such as: caffeic acid, galangin-3-methyl ether esters, quercetin; luteolin; 3-methoxy-quercetin and a new chalcone: achyrobichalcone. These methods of identification and characterization of the ionic organic components, UV-Vis spectrophotometry and SEM (electron scanning microscopy) were performed. The sizes of NPs that were found in their spherical shape, with a diameter of 10-15nm. The result obtained from the antimicrobial activity with the strains E. coli and S. auerus resulting in an inhibition halo of 3.00 to 3.098 and 3.12 to 2.05 respectively.
Keywords
Achyrocline satureioides, Silver nanoparticles, Reducing agent, Flavonoid.
1. Introducción
El Instituto Nacional de Salud de Estados Unidos define a la nanotecnología como la creación de materiales funcionales como sistemas y dispositivos a escala de 1 a 100 nanómetros (1x10-9 metros) en conjunto de uso de propiedades nuevas de elementos químicos a la misma escala. Richard Feynman ganador en 1965 del premio nobel en física. Siendo el primero en mencionar el avance científico de la nanotecnología en su discurso There’s Plenty of Room at the bottom y datos dan a conocer en los años 1999-2000 avances en productos diseñados con nanotecnología [1].
Sus aplicaciones son amplias; en energía mejora los sistemas de generación de energía renovable como los paneles solares. En medicina aumenta el desarrollo de nano transportadores de fármacos, nanoboots para la minimización de células malignas. En medio ambiente tratamientos de aguas, procesos no contaminantes, desalinización, etc. En construcciones obtenciones de materiales reforzados, flexibles. En agricultura se relaciona con herbicidas, plaguicidas, foliares, entre otros [1].
La aplicación de la nanotecnología en el campo de la medicina ha tenido como objetivo prevenir, diagnosticar, y tratar enfermedades causadas por bacterias que han desarrollado resistencia a los fármacos convencionales. Las nanopartículas metálicas, en este caso, las de plata son de gran importancia médica debido a sus propiedades antibacterianas que, en comparación con las macropartículas de plata, esto ha generado la investigación y desarrollo de métodos nuevos de síntesis de nanopartículas de plata (físicos, químicos y orgánicos) [1].
Teniendo en cuenta que sintetizar nanopartículas de plata por medio de métodos físicos y químicos generan un gran impacto ambiental y económicos, basándose en la innovación de estudios en métodos orgánicos, amigables con el medio ambiente tomando el nombre de síntesis verde, generando cantidad mínima de residuos contaminantes en comparación a los métodos anteriormente mencionados [2].
Nuevos estudios sobre síntesis de nanopartículas de plata a partir de extractos de plantas sábila, romero, ajo, granada y marcela que poseen componentes antioxidantes con capacidad para reducir la plata y sintetizar nanopartículas [3]. Extracto de plantas como el de marcela (Achyrocline satureioides) en varios estudios han demostrado que en su composición tienes propiedades antibacterianas, antiinflamatorias y anticancerígenas que han sido utilizadas en la medicina natural y ancestral [3].
1.1. Actividades antioxidantes de la Marcela (Achyrocline satureioides)
PhD. Felicia Rivera Megret realizó un estudio “Achyrocline satureioides (Lam.) DC. (marcela) reduces brain damage in permanent focal ischemia in rats” donde menciona el análisis a la marcela que debido a su gran actividad antioxidantes y antiinflamatoria otorgada a la presencia de los flavonoides (quercetina), es el motivo de estudio a los ataques cerebrovasculares (ACV) que son la segunda causa de muerte más frecuente en todo el mundo, El ACV isquémico (accidente cerebrovascular isquémico) resulta de una reducción transitoria o permanente en el flujo sanguíneo que afecta el territorio de una arteria cerebral y representa aproximadamente el 80% de todos ACV. Estos mecanismos moleculares que se producen durante la cascada isquémica han promovido la búsqueda de moléculas antioxidantes y antiinflamatorias que podrían interferir con el Estrés oxidativo, reduciendo el daño neuronal. Debido a su alto antioxidante y acciones antiinflamatorias, evidencias tempranas señaladas a plantas, frutas, bebidas como el vino y el té, y sus compuestos principales, como los flavonoides, como significativos candidatos en la búsqueda de principios neuroprotectores, la búsqueda incesante de acciones farmacológicas se usa la intervención de plantas medicinales debido a estudios sobre su valor en prevención de enfermedades del sistema nervioso en particular, Achyrocline satureioides (Lam.) DC. (marcela) es una planta de uso popular en esta región cuyas decocciones o infusiones se han utilizado tradicionalmente para trastornos gastrointestinales, como sedante y antiespasmódico [3] [4].
1.2 Actividad antimicrobiana de nanopartículas de plata
La empresa NanoComposix investigo las propiedades de las nanopartículas de plata, dentro de las cuales se reconfirmo la actividad antibacterial, mediante análisis de microscopía electrónica y espectrofotómetro de luz UV-Visible se determinó que la eficacia de las nanopartículas de plata se da cuando las partículas son de menor tamaño de hasta 10nm de granulometría [5].
La universidad de Nueva León realizo un trabajo investigativo, demostrando la actividad antimicrobiana tanto en virus VIH ( algunas cepas) como en bacterias que se le atribuyen a las nanopartículas de plata, las mismas que al entrar en contacto con bacterias Gram Positivas (S. aureus) y Gram Negativas (E. coli), se observó la inhibición de crecimiento en las placas que contenían la solución, por lo que se indica que la nanopartículas de plata en dimensiones nanométricas impide el crecimiento bacteriano [6].
1.3. Importancia del uso las nanopartículas metálicas
Las nanopartículas presentan ventajas en comparación con el mismo material en escala macrométrica, se dan a conocer algunas [2]:
§ La superficie ayuda a cargar moléculas de medicamentos para que estas se modifiquen estructuralmente en las células y ser absorbidos con facilidad, debido a su tamaño [2].
§ Son de un material cristalino, fuerte, flexible, ligera que, en escalas macrométrica, son menos abrasivas a las células y el cuerpo humano [2].
§ Las nanopartículas en especial la de plata, han generado la necesidad de su elaboración debido a su actividad antibacterial y han sido usada en los tratamientos contra virus y bacterias [2].
1.4. Mecanismo de reacción de nanopartículas de plata
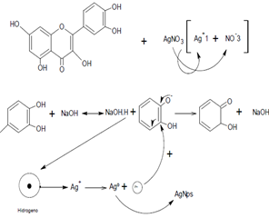
La reacción entre los cationes plata y el agente reductor de mayor concentración de las hojas de la planta es el flavonoide quercetina [7].

Fig. 1. Mecanismo de reacción especifico de síntesis de nanopartículas a partir del hidrogeno de un hidroxilo del radical fenil en quercetina
Fuente: [8] [9]
Quercetina es un polifenol ácido poliprótico, con 5 hidroxilos con hidrógenos los actuando como ácidos en una reacción REDOX. La reacción espontánea cuando contiende hidrógenos ácidos., la quercetina tiene hidrógenos (2) que son ácidos fuertes y al desprenderse forman un ion enolato (𝑂−base conjugada) que necesita un catalizador acelerante (base fuerte). Anteriormente la oxidación del hidroxilo y continua reduciendo los iones Ag. [8] [9] [10]

Fig. 2. Estabilidad de la base conjugada del hidroxilo en el radical fenil de la quercetina
Fuente: [8] [9] [10]
El ácido conjugado débil se estabiliza como base fuerte y el hidrogeno que fue tomado se individualiza en la solución y está en reacción con la plata. El hidrogeno cede el electrón a la plata para reducir y que esta sea estable carga 0. la carga positiva (P+), está libre en la solución y se une con el electrón del carbono para cumplir con la ley de octeto .El hidrogeno que se une con el carbono estabiliza el tautómero cetónico formado en la quercetina. [8] [9] [10]
El ion plata carga 0 en contacto con los átomos estables la plata y modifican su único electrón (valencia), generan una capa de electrones que alinean por todos los átomos de plata contantemente para cumplir la ley de octeto, generando enlace metálico provocando la aglomeración de átomos plata formando nanopartículas estabilizadas [8] [9] [10]

Fig. 3. Mecanismo de reacción para la formación de nanopartículas a partir de iones plata.
Fuente: [11]
Debido a que son dos electrones que pueden ser cedidos por la quercetina de acuerdo con la tabla 1 y su explicación, y a causa de que el estado de oxidación de la plata ionizada es +1, la reacción química utiliza un átomo de quercetina y 2 cationes plata monovalente.
1.5. Componentes orgánicos del agente reductor quercetina
Componentes orgánicos más importantes identificados en las hojas de marcela
|
Constantes de acidez de los grupos –OH de la quercetina |
|
|
PKa |
Ubicación del hidroxilo |
|
7.17 |
Hidroxilo ubicado en el tercer carbono de la estructura principal (1,4-benzopirano o 4-cromona) |
|
8.26 |
Hidroxilo ubicado en el cuarto carbono del radical fenil |
|
10.13 |
Hidroxilo ubicado en el tercer carbono del radical fenil |
|
12.3 |
Hidroxilo ubicado en el quinto carbono de la estructura principal |
|
13.11 |
Hidroxilo ubicado en el séptimo carbono de la estructura principal |
Fuente: [12]
Las constantes acidas de hidroxilos contenida en la composición molecular de quercetina, las más bajas están ubicadas:
§ En el hidroxilo enlazado al carbono 4 del radical fenil (PH).
§ En el hidroxilo enlazado al carbono 3 de la estructura principal de la molécula, la 4-cromona o 1,4-benzopirano.
La importancia de estas bajas constantes de acidez radica en la mayor posibilidad por la estructura de la quercetina en ceder un electrón por cada hidrogeno que posee bajo pKa, lo que da un total de dos electrones donados por los grupos hidroxilo de la querceti na.
Estos electrones sirven para reducir la plata que se encuentran en un medio acuoso en forma de ion plata Ag+1. Debido a que son dos electrones que pueden ser cedidos por el flavonoide y debido a que el ion Ag+1 es monovalente, es decir puede aceptar solo un electrón, la reacción química utiliza un átomo de quercetina y 2 cationes plata monovalente.

Fig. 4. Reducción de catión Ag+1 a través de un electrón unitario en el medio
Fuente: [12]
1.6. Reducción de un electrón
La reducción de los iones plata debido al electrón único cedido por el agente reductor (quercetina) denominada reducción radioquímica (electrones son cedidos por los hidrógenos más ácidos de los grupos –OH de la quercetina, ver figura 1) [12].
El electrón pasa al orbital del catión de plata se genera la reducción a plata 0, lo cual lo deja como un elemento libre debido a su número oxidativo paso a 0.

Fig. 5. Enlace metálico de nanopartículas de plata en la nube de electrones
Fuente: [12]
1.7. Tamaño de nanopartículas
El tamaño de nanopartículas está definido por la energía de resonancia de plasmón de superficie que está ligado a la densidad de electrones libres que actúan con fotones y da la baja conductividad eléctrica de las nanopartículas.
Estas energías no son proporcionales al diámetro de nanopartículas; es decir, si el diámetro es menor aumenta la longitud de onda dada en nm.
Nanopartículas metálicas dispersas en un medio coloidal de tamaño inferior a 30nm, la RPS absorbe la luz del espectro visible de color azul-verde (λ=450 nm) y produce una luz reflejada de color rojo, dando al medio coloidal un color rojo intenso. (λ=700 nm)

Fig. 6. Espectro de absorción de NPs de diámetro inferior a 30 nm con absorción principal de fotones verdes y azules transmitiendo el color rojo al coloide
Fuente: [13]
Las nanopartículas metálicas de gran tamaño, la longitud de onda que se absorbe se desplaza hacia las ondas energía baja (rojo), es decir son absorbidas y proyectan un azul bajo a la mezcla.
Las nanopartículas aumentan su tamaño manométricamente, la longitud de onda pasa a la zona infrarroja del espectro visible son reflejada pero no visibilizadas y se torna traslucida la mezcla.
Longitud de onda, color absorbido y reflejado de nanopartículas según su tamaño y forma
|
Longitud de onda (nm) |
Color absorbido |
Color reflejado a la solución coloidal |
|
780-650 |
Rojo |
Azul-verde |
|
650-595 |
Naranja |
Azul verdoso |
|
595-560 |
Amarillo-verde |
Púrpura |
|
560-500 |
Verde |
Rojo púrpura |
|
500-490 |
Verde azulado |
Rojo |
|
490-480 |
Azul verdoso |
Naranja |
|
480-435 |
Azul |
Amarillo |
|
435-380 |
Violeta |
Amarillo-verde |
Fuente: Autores
2. Materiales y métodos
En este proyecto de investigación se utilizaron fuentes de información; tales como, tesis doctorales, libros, tesis de maestría y papers científicos con un periodo de selección de 2010 hasta 2018.
A continuación, se enlista los instrumentos y equipos del laboratorio utilizados para el desarrollo de este proyecto, teniendo como lugar central de operación el Laboratorio de Microbiología de la Facultad de Ingeniería Química, Universidad de Guayaquil.
Ø Estufa de secado
Ø Balanza digital
Ø Balanza analítica
Ø Molino de bolas
Ø Molino mecánico
Ø Hornilla eléctrica
Ø Olla
Ø Refrigeradora del Laboratorio
Ø Máquina de luz UV
Ø Tubos de ensayo
Ø Vidrio reloj
Ø Pipetas
2.1. Pruebas de actividad microbiana
Para el desarrollo del ensayo de inhibición microbiana, se necesita realizar cultivos de las cepas de E. coli y S. aureus, que fueron proporcionadas por el Laboratorio de Microbiología de la Facultad Ingeniería Química, Universidad de Guayaquil. Las cepas de E. coli y S. aureus se encontraban en un caldo concentrado. Se utilizó 100 microlitros de soluciones concentradas para cada siembra. Se colocó en un cuadrante de la caja Petri y se extendió con un asa Drigalsky por todo el agar. Se realizaron duplicados de cada cultivo microbiano para obtener un promedio de los datos. Para obtener el halo de inhibición se utilizó discos de 0.5cm de diámetro en blanco para antibiogramas en los cuales se colocó 15 microlitros de cada solución de AgNPs sintetizadas y de las soluciones patrones para la comprobación de la actividad antimicrobiana. Las cajas Petri fueron divididas en cuatro cuadrantes los cuales son:
Ø Ag: nitrato de plata 1mM
Ø M: extracto al 4% de polvo de hojas de Marcela
Ø Np6: Nanopartículas de plata sintetizadas el día seis de elaboración del extracto.
Cada solución de AgNPs sintetizadas tuvo un tiempo de reposo de 6 días, con el fin de que en el análisis se puedan tomar muestras de AgNPs estables y no partículas aglomeradas que disminuyan el efecto de inhibición, según un informe realizado por Erna Susanti [14].Cada caja Petri se dividió en cuatro partes: en el primer cuadrante se colocó AgNO3 1mM, en el segundo cuadrante se utilizó extracto al 4% p/v, en el tercer cuadrante se utilizó AgNPs formado en el día cero de reposo del extracto y en el último cuadrante AgNPs sintetizado en el día seis de reposo. Luego del tiempo de reposo respectivo para las AgNPs sintetizadas el día 0 y día 6. Luego de realizar correctamente la siembra se conservó en la incubadora a 38ºC durante 24 horas las bacterias E. coli y S. aureus. Luego del tiempo descrito de reposo para los cultivos, se sacan de la incubadora y se mide con un Vernier los halos de inhibición producidos por cada una de las sustancias.
2.3. Preparación del nitrato de plata
Se prepararon tres concentraciones diferentes de nitrato de plata:
Ø AgNO3 a 0.05 M se disuelve 0.85 gramos en 100 ml de extracto alcohólico
Ø AgNO3 a 0.1 M se disuelve 1.69 gramos en 100ml de extracto alcohólico
Ø AgNO3 a 0.15 M se disuelve 2.55 gramos en 100 ml de extracto alcohólico
Se envasa herméticamente y se somete a refrigeración para tomar las muestras en intervalo de días.
2.4. Caracterización de quercetina en polvo de Marcela
El principal flavonoide contenido en el polvo de la Marcela es la quercetina que actúa como agente reductor [15]. Se determinará cuantitativamente el analito mediante cromatografía HPLC para ello se seguirá la metodología utilizada en la determinación de quercetina en polvo de hojas de té verde [16].
En la metodología para la determinación mediante HPLC se identifican dos fases; se usó metanol como disolvente polar (fase móvil) con volumen de 1 ml/min que al entrar en contacto con el analito (fase estacionaria), este se disolverá con el metanol ayudando a que la quercetina se cuantificada a 370 nm [16].
Tabla 3.
Tamizaje fitoquímico del extracto etanólico de hojas de A. satureioides
|
Ensayo de resinas |
Negativo |
|
Ensayo de Catequinas |
Positivo |
|
Compuestos fenólicos. Ensayo de cloruro férrico |
Verde (tanino pirocatecólicos) |
|
Compuestos Reductores. Ensayo de Fehling |
Positivo |
|
Flavonoides. Ensayo de antocianidinas |
Positivo |
|
Saponinas. Ensayo de espuma |
Negativo |
|
Alcaloides. Ensayo de Dragendorff |
++ , +++ |
|
Ensayo de aceites esenciales |
Positivo |
Fuente: Autores
3. Resultados
El peso inicial de las hojas de Marcela era de 922 gramos y se sometió a secado en la estufa a una temperatura de 38º-40º durante 3 días, siendo controlada en intervalo de 4 horas para determinar la variación de masa.
Porcentaje de humedad eliminada
|
|
( 1) |
|
|
( 2) |
Donde:
masa húmeda de hojas de Marcela
masa seca de hojas de Marcela
Las hojas secas fueron sometidas a molienda con el uso de un molino de bolas con la ayuda de 50 bolas de cerámica de un mismo diámetro durante 20 minutos, debido al material aterciopelado o lanoso de las hojas, se sometió a molienda mecánica con el uso de molino convencional.
Se preparó la muestra DPPH para la identificación de la inhibición debido al contenido de antioxidantes contenido en el extracto y sacar un estimado, usando como blanco metanol.
Para obtenerte estos resultados se realizaron por triplicado las muestras con cada volumen de extracto, obteniendo como resultados favorables el contenido de antioxidantes en la planta.
Porcentaje de inhibición de extracto etanólico de hojas de A. satureioides
|
50 microlitros |
25 microlitros |
15 microlitros |
|
84.86% |
74.43% |
62.45% |
Fuente: Autores
3.2. Caracterización de quercetina por HPLC
El análisis de HPLC se realizó en los laboratorios de Química Analítica de la facultad de Química y Ciencias Exactas de la Universidad Técnica Particular de Loja (UTPL).
Para este análisis se utilizó 1microlito de un extracto etanólico al 20% del polvo de hojas de Marcela para determinar la quercetina como principal agente reductor y flavonoides presente en las hojas de esta planta.
El resultado cuantitativo de su composición fue de 49.7±5 mg/g de quercetina y el punto de saturación más alto se da en un tiempo de retención de 0.4 minutos [17].

Fig. 7. Reporte del análisis de quercetina por HPLC presente en polvo de hojas de Marcela
Fuente: [17]
3.3. Caracterización de nanopartículas por espectro UV-VIS
Para este procedimiento se utilizó el espectrofotómetro Genesys 10-uv con muestras de AgNPs. El blanco fue etanol.
Análisis de espectroscopia UV-Vis
|
Días |
ʎ |
Absorbancia |
Concentración (ppm) |
|
|
0 |
295 |
0.476 |
0.475 |
226.7 |
|
330 |
2.19 |
2.18 |
250.6 |
|
|
325 |
2.346 |
2.35 |
286.5 |
|
|
6 |
365 |
2.956 |
2.95 |
0.989 |
|
375 |
2.92 |
2.874 |
0.963 |
|
|
345 |
2.939 |
2.94 |
0.985 |
|
|
9 |
315 |
2.989 |
2.99 |
0.999 |
|
370 |
2.990 |
2.934 |
0.995 |
|
|
375 |
2.995 |
2.972 |
1.009 |
|
|
12 |
355 |
2.994 |
2.953 |
0.998 |
|
365 |
2.938 |
2.931 |
0.995 |
|
|
395 |
2.951 |
2.949 |
0.998 |
|
Fuente: Autores
Para obtener el resultado se realizó muestras con tres concentraciones diferentes de AgNO3 (0.05-0.1-0.15 M), dando como más estable 0.1M de AgNO3, obteniendo una concentración de 0.99ppm en la muestra.
Los datos obtenidos indican que la longitud de onda alcanzadas con mayor concentración 365 y 375nm dando un promedio de 370, lo que indica según la tabla que las nanopartículas obtenidas tienen un diámetro de 10-15nm.
3.4. Caracterización de forma y tamaño de las nanopartículas de plata
El análisis se realizó en el laboratorio de microscopia electrónica de barrido del Instituto Nacional de Investigación de Salud Pública (INSPI) en el equipo Microscopio Electrónico de Barrido JEOL (JSM 5310), a las muestras se les dio un baño de oro en el metalizador JEOL (FJFC-1200), con un tiempo de exposición de 30 minutos por lo que se divisa formas esféricas y su tamaño oscila entre los 10-15nm, tomando las imágenes que presentan menos aglomeración [18]
En las siguientes ilustraciones se da a observar la caracterización de las nanopartículas de plata:

Fig. 8. Caracterización de las nanopartículas de plata 1
Fuente: Autores
|
1.5cm= 1.5e+7nm = NPsAg =11.07nm |
( 3) |
|
1.5cm= 1.5e+7nm = NPsAg =11.07nm |
( 4) |

Fig. 9. Caracterización de las nanopartículas de plata 2
Fuente: Autores
|
2cm=2e+7nm= NPsAg =12.44nm |
( 5) |

Fig. 10. Caracterización de las nanopartículas de plata 3
Fuente: Autores
|
2.5cm=2.5e+7nm= NPsAg=13.79nm |
( 6) |
3.5. Inhibición bacteriana
Tabla 6.
Valores de halo de inhibición de NPsAg
|
Sustancias |
E. coli (100µl) |
S. aureus (100µl) |
||
|
valores en cm |
||||
|
AgNO3 1nM |
1.055 |
1.10 |
1.02 |
1.025 |
|
Extracto |
1.15 |
1.20 |
1.48 |
1.44 |
|
NPsAg día 0 |
3.00 |
3.098 |
3.12 |
2.05 |
|
NPsAg día 6 |
2.58 |
2.78 |
2.18 |
2.02 |
Fuente: Autores
Los resultados de la tabla 6 nos afirman la actividad microbiana del AgNO3 y el extracto de polvo de hojas de Marcela, sin embargo, el halo de inhibición decrece a medida que pasa el tiempo como se puede evidenciar del día 0 al día 6, pero se mantiene la actividad.
4. Conclusiones
Los resultados obtenidos en la selección de A. satureioides son una muestra inicial de 968 gr de hojas de A. satureioides y se obtuvo una muestra final de 692 gr luego del proceso de secado, el análisis fitoquímico da a conocer la presencia de algunos componentes orgánicos: compuestos reductores, compuestos flavonoides, compuestos fenólicos en especial los taninos pirocatecólicos, catequinas, alcaloides y aceites esenciales.
La caracterización de NPsAg da un porcentaje de 0.99 ppm en la muestra con un diámetro de 10-14nm de cada partícula encontrándose en su forma más tradicional (esférica) con la concentración favorable de 0.1mM de AgNO3, la concentración de quercetina presente en el extracto de A. satureioides determinado por análisis HPLC fue de 49.7±5 mg/g, se determinó el porcentaje de inhibición en extracto de hojas de A.satureioides por medio de DPPH generando datos de 84.46%, ratificando la atribución de propiedades con actividad antiinflamatorias, antibacteriana, antioxidante y antitumoral.
Referencias
|
[1] |
K. K. Mahendra Rai, NANOTECHNOLOGY IN DIAGNOSIS, TREATMENT AND PROPHYLAXIS OF INFECTIOUS DISEASES, Chennai, India: Academic Press, 2015. |
|
[2] |
L. Cardeño Calle y M. E. Londoño, «Síntesis verde de nanoparticulas de plata mediante el uso de ajo (Allium sativum),» Revista Soluciones de Postgrado EIA, vol. 6, nº 12, pp. 129-140, 2014. |
|
[3] |
F. Rivera Megret, D. Tejera, J. A. Abin Carriquiri, G. P. dos Santos, M. Martínez Busi y F. Dajas Méndez, «Achyrocline satureioides (Lam.) DC. (marcela) reduces brain damage in permanent focal ischemia in rats,» Revista Cubana de Plantas Medicinales, vol. 18, nº 3, pp. 445-460, 2013. |
|
[4] |
M. C. Sabini, L. N. Cariddi, F. M. Escobar, F. M. L. Comini, D. Iglesias, M. Larrauri, S. Núñez Montoya, J. Sereno, M. S. Contigiani, J. J. Cantero y L. I. Sabini, «Potent inhibition of Western Equine Encephalitis virus by a fraction rich in flavonoids and phenolic acids obtained from Achyrocline satureioides,» Revista Brasileira de Farmacognosia, vol. 26, nº 5, pp. 571-578, 2016. |
|
[5] |
S. Oldenburg, «"Silver Nanoparticles:Properties and Applications",» Carboh Resea, p. 4, 2008. |
|
[6] |
N. V. Ayala Nuñez, «Nanopartículas de plata como microbicidas: actividad y mecanismo de acción contra la infección por el virus de inmunodeficiencia humana (VIH) y diferentes bacterias resistentes a antibióticos.,» UANL, Mexico, 2010. |
|
[7] |
Gabriela Margarita Miño Castro, «Investigación fitoquímica e identificación de principios activos en seis especies del género Baccharis,”,» 2007. |
|
[8] |
Alberto Corzo Lucioni, «Síntesis de nanopartículas de oro obtenidas por reducción de H[AuCl4],» Revista de la Sociedad Química del Perú, vol. 78, nº 2, pp. 79-90, 2012. |
|
[9] |
M. A. Salguero Salas, «Síntesis y caracterización de nanopartículas de plata usando como reductores extractos de menta (Origanum vulgare) y cilantro (Coriandrum sativum), y como funcionalizante el látex de sangre de drago (Croton lechleri),» Pontificia Universidad Católica del Ecuador, Quito, 2016. |
|
[10] |
W. A. Robledo Prada, «FENÓMENOS TAUTOMÉRICOS EN SISTEMAS HETEROCÍCLICOS AROMÁTICOS.,» Colombia, 2015. |
|
[11] |
María Concepción Fraile Romero, «Estudio de las interacciones entre nanoparticulas de metales nobles y ADN,» Sevilla, 2016. |
|
[12] |
Rodolfo Zanella, «Metodologías para la síntesis de nanopartículas:,» Mexico, 2012. |
|
[13] |
D. A. Cruz Perdomo y M. C. Rodríguez, «Nanopartículas metálicas y plasmones de superficie: Una relación profunda.,» Avances en Ciencias e Ingeniería, vol. 3, nº 2, pp. 67-78, 2012. |
|
[14] |
K. A. Castro Batioja, «Elaboración de nanopartículas de plata vía síntesis y compuestos orgánicos de púnica granatum y catálisis bacteriana de escherichia coli, staphylococcus aureus y aspergillus niger.,» Guayaquil, 2018. |
|
[15] |
D. Retta, E. Dellacassa, J. Villamil, S. A. Suárez y A. L. Bandoni, «Marcela, a promising medicinal and aromatic plant from Latin America: A review,» Industrial Crops and Products, vol. 38, pp. 27-38, 2012. |
|
[16] |
E. Susanti, Ciptati, R. Ratnawati, Aulanni'am y A. Rudijanto, «Qualitative analysis of catechins from green tea GMB-4 clone using HPLC and LC-MS/MS,» Asian Pacific Journal of Tropical Biomedicine, vol. 5, nº 12, pp. 1046-1050, 2015. |
|
[17] |
J. A. Muñoz Muñoz, J. E. Morgan Machado y M. Trujillo González, «Validación de una metodología por HPLC para cuantificar quercetina total en extractos de Calendula officinalis,» Revista Cubana de Farmacia, vol. 49, nº 1, pp. 91-102, 2015. |
|
[18] |
INSPI, «Determinación de tamaño y forma mediante Microscopia Electronica de Barrido,» INSPI, Guayaquil, 2019. |
[1] Universidad de Guayaquil; https://orcid.org/0000-0002-1730-118X ; luis.zalameam@ug.edu.ec .
[2] Universidad de Guayaquil; jenniffer.chilaal@ug.edu.ec .
[3] Universidad de Guayaquil; irina.menendezr@ug.edu.ec .