DESIGN OF A PHOTOCATALYTIC REACTOR FOR THE TREATMENT OF CYROMAZINE-CONTAMINATED WATER USING HEMATOPORPHYRIN AS PHOTOSENSITIZER

 

DISEÑO DE UN REACTOR FOTOCATALÍTICO PARA EL TRATAMIENTO DE AGUAS CONTAMINADAS CON CIROMAZINA UTILIZANDO HEMATOPORFIRINA COMO FOTOSENSIBILIZADOR

 

Franklin Ramón Vargas [1] * ; Jessenia María Ortega [2] María Alejandra Carrizales [3]Alexis José Maldonado [4]  & Beatriz Celeste Angulo [5] ,

 

Recibido: 01 / 05 / 2023 – Recibido en forma revisada: 05 / 06 / 2023 -- Aceptado: 02 / 07 / 2023

*Autor para la correspondencia.

 

Abstract: In this work, the studies of the mechanisms of the photocatalytic oxidation of cyromazine using hematoporphyrin as a photosensitizer agent were investigated. This oxidation process was determined using UV-Vis spectrophotometry, GC-MS spectrometry, and HPLC chromatography. The singlet oxygen generation was also determined. Melamine and ammelide were identified as the photodegradation products of cyromazine. A kinetic constant corresponding to a first-order equation was obtained. A piston flow reactor was designed to purify water contaminated with cyromazine, considering the need for a reactor that is easy to implement and maintain, ideal for implementation in rural areas, and that ensure high conversion per reactor volume.

 

keywords: Advanced photooxidation, cyromazine, hematoporphyrin, photocatalysis singlet oxygen

 

Resumen: En este trabajo se investigaron los estudios de los mecanismos de oxidación fotocatalítica de ciromazina utilizando hematoporfirina como agente fotosensibilizador. Este proceso de oxidación se determinó mediante espectrofotometría UV-Vis, espectrometría GC-MS y cromatografía HPLC. También se determinó la generación de oxígeno singlete. La melamina y la ammelida se identificaron como los productos de fotodegradación de la ciromazina. Se obtuvo una constante cinética correspondiente a una ecuación de primer orden. Se diseñó un reactor de flujo pistón para purificar agua contaminada con ciromazina, considerando la necesidad de un reactor fácil de implementar y mantener, ideal para ser implementado en áreas rurales, y que asegure una alta conversión por volumen del reactor:

 

Palabras clave: ciromazina, fotocatálisis, fotooxidación avanzada, hematoporfirina, oxígeno singlete

 


 

1. Introduction.

 

Undoubtedly, pollution is the most important cause of water scarcity. More than scarcity, water uselessness, since it not only makes used water useless but in many cases it does so with the sources where it is discharged. This is essential for the socioeconomic development of man and for the healthy maintenance of ecosystems. As the population and its development increase, it becomes necessary to expand water allocations for domestic, agricultural, and industrial uses. The demand for this precious liquid is increasing [1].

 

The conventional processes carried out in most wastewater treatment plants are classified as primary, secondary, and tertiary treatment. The primary or physicochemical treatment eliminates all those substances that can be separated by deposition on the bottom of the reactor (solids, colloids) or settling on the surface (oils or fats). Secondary treatment is responsible for the removal of biodegradable organic matter through microorganisms. Finally, tertiary treatment includes a series of techniques aimed at separating from the water all those species that have not been eliminated in previous treatments, such as anions and cations, and non-biodegradable organic compounds.

 

Advanced oxidation processes (AOPs) are highly efficient in water purification, being capable of generating transient strongly oxidizing and non-selective species, mainly the hydroxyl, peridroxil radicals, or singlet oxygen [2], to purify water under normal condition [3]. These techniques, developed over the last 20 years, represent one of the most important alternatives to conventional wastewater treatment [4]. Photocatalysis has been one of the most studied AOPs in recent years for the degradation of organic pollutants in the aqueous phase. One of the main reasons for this growing interest is that operating conditions are milder and more economically viable. Another major benefit of using photocatalysts is the possibility of using solar energy as a source of radiation [5].

 

The choice of the photosensitizer to use depends on the main parameters of each treatment such as catalyst separation, pH neutralization, reaction speed (the size of the plant depends on this) as well as the cost of hydrogen peroxide [6]. Like other AOPs, photocatalysis is an effective way of disinfecting water, of growing interest, which avoids the use of oxidizing reagents and thus the formation of hazardous intermediates [7, 8].

 

In this work, the degrading action of oxidizing species on cyromazine is investigated using hematoporphyrin (H2TCPP) as a photosensitizing agent. A photosensitizer capable of generating singlet oxygen under irradiation with light within the range of visible light. Kinetic data from the given reaction were used for the design of a photocatalytic reactor for the purification of cyromazine-contaminated water, at a low cost and according to an environmentally friendly methodology. These techniques can also be used in laboratory experiments to simulate the abiotic transformation of contaminants in the euphotic zone (the zone with the highest light reception), sometimes leading to potentially harmful transformation intermediate products. Similarly, the role played by singlet oxygen in surface waters is described. The latter, produced in aqueous solution by photo-excited organic matter, has a micro-heterogeneous distribution in the solid phase and in the hydrophobic nuclei of humic substances, and may have important implications for the degradation of hydrophilic and hydrophobic contaminants.

 

 

 

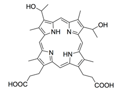
Figure 1. Structures of: cyromazine (left) and hematoporphyrin (right).

 

2. Experimental Methodology

 

All the irradiation processes were carried out using a LuzChem LZC-4 illuminator (LuzChem Research Inc., Canada). The irradiation time periods varied at 25 ºC, with emission in the UVA-Vis region, 320-600 nm. This was measured with a Digital Radiometer UVX (Thermo Fisher Scientific, USA) after 1 h continuous illumination, (3.3 mW/cm2, 45,575 Lux/sec) (radiation dose 4.5 J/cm2).

 

The analytical and HPLC-grade solvents were purchased from Merck (Darmstadt, Germany). Hematoporphyrin, histidine, rose bengal, and p-nitroso dimethyl aniline was purchased from Sigma-Aldrich (St. Louis, MO, USA). Phosphate-buffered saline solution (PBS) pH 7.4 (0.01 M phosphate buffer and 0.135 M NaCl).  LiChrospher® RP-8e, (5 μm) analytical column, at room temperature, was also used for the chromatographic separation. This was purchased from Merck (Darmstadt, Germany). The analytes were monitored at 240 nm. The elution was isocratic and the mobile phase consisted of 0.1% TFA (CF3COOH) and methanol (CH3OH; 80:20 v/v) delivered isocratically at a flow rate of 1mL/minute. Inlet pressure was between 180 and 190 bar. The injection volume was 20 μL. Melamine (99%) and Cyromazine (99.8%) were purchased from Sigma-Aldrich. HPLC grade methanol Lichrosolv® (MeOH, 99.8%) was purchased from Merck, ACN (99.99%) from Fisher Scientic and trifluoracetic acid (TFA, CF3COOH, 99%) from ACROS Organics.

 

2.1. Cyromazine photodegradation.

 

The photodegradation of cyromazine was followed by a UV-Vis spectrophotometry using a Perkin Elmer Lambda-35 UV-Vis spectrophotometer (USA). The fluorescence spectra were registered with a Perkin Elmer LS-45 spectrofluorophotometer. The structures of the isolated products were elucidated by FT I.R. (Nicolet DX V 5.07) and mass spectra (Varian Saturn 2000) in connection with a Varian chromatograph equipped with a 30-m capillary (CP-Sil, 8CB-MS). All irradiations (1.6 x 10-2 M) were also monitored by liquid chromatography (HPLC, Waters Delta Prep 4000 and also with HPLC Perkin Elmer, Serie 200) equipped with an analytic and a preparative C18- Bondapak and analytic columns and UV-Vis detector) [8, 9].

 

The photodegradation of cyromazine was determined using a spectrophotometer with UV-Visible detector, where products that absorb at the same wavelength similar to the starting ones were observed. For the identification and quantification of the different products obtained, a high-performance liquid chromatograph (HPLC) equipped with a UV-vis detector was used, this allowed the degradation to be followed and the species formed together with the starting reagents to be observed. The identification of the formed products was obtained by means of a mass spectrometer.

 

Photodegradation studies of cyromazine .- Procedure

 

A 1.5 mL solution of each, cyromazine (1x10-5 M) and H2TCPP (0.5x10-5 M) and was placed in a quartz cell with a 1 cm optical pitch to measure its absorbance in the spectrophotometer. The wavelength used was 207 nm corresponding to the maximum absorbance of cyromazine. This procedure was repeated every 2 min for 40 min of irradiation at 15,440 Lux. In addition, a standard was prepared that, like the other, the absorbance was monitored every two minutes, but remained in the absence of radiation. This pattern was performed to check the low toxicity of hematoporphyrin in the dark.

 

To calculate the molar extinction coefficient, mixtures of 1 mL of H2TCPP at 1x10-5 M and 1 mL of cyromazine at different concentrations were prepared. Then, the absorbance was measured and considering the Beer-Lambert law, the linear relationship between absorbance and cyromazine concentration was determined. With this relationship, the decrease in the concentration of cyromazine as a function of time was obtained. The rate constant was determined from the slope of the line. It should be noted that this procedure was performed five times to ensure the reproducibility of the results.

 

2.2. Hematoporphyrin (H2TCPP) photostability.

 

Solutions of 1.0 to 4.0 x 10-4 M H2TCPP were subjected to irradiation, and the absorbance value was monitored every 15 minutes spectrophotometricaly. This experiment was carried out in order to verify the thermal and photochemical stability of hematoporphyrin (H2TCPP) as also to verify the intensity absorption of light in the region between 350 and 650 nm. Similarly, the UV-Visible spectrophotometer was also used to calculate the reference quantum yield of singlet oxygen production [10].

 

The wavelength emitted by the lamps in a Photoreactor Luzchem LZC-4 irradiation chamber equipped with 7 fluorescent lamps LZC-420 (centered approx. at 420 nm) and 7 fluorescent lamps LZC-355 (UVA lamps centered approx. 355 nm), are where hematoporphyrin effectively has a maximum absorbance (396 nm).

 

2.3. Determination of fluorescence quantum yield (ΦF).

 

H2TCPP emission and energy transfer studies were carried out under argon on saturated dichloromethane solutions of this porphyrin using a Perkin Elmer LS-45 spectrofluorophotometer. Relative fluorescence quantum yields at room temperature were determined by comparing the corrected fluorescence intensity of H2TCPP with that of meso-tetraphenylporphyrin in chloroform ΦF = 0.110, rhodamine B (1.0 x 10-6 M, ΦF = 0.69 / ethanol), and with that of quinine bisulfate in 0.05 M H2SO4 (ΦF = 0.55) or pyrene (ΦF = 0.38 / CH2Cl2) [10].

 

The fluorescence spectrum consists of a peak at 625 nm and a second, less intense band at 675 nm. The 1O2 quantum yields were found to be 0.61 ± 0.03 for hematoporphyrin.

 

2.4. Determination of singlet oxygen generation.

 

The histidine test was performed in order to determine the quantum yield of singlet oxygen production of hematoporphyrin using rose bengal as a reference, whose theoretical quantum yield value is reported [11].

 

The experimental methodology used for the Histidine Test consisted of placing 1mL of hematoporphyrin, 1mL of histidine, and 0.5 mL of nitrosoaniline (all three at a concentration of 0.1 nM) in a quartz cell. The mixture was subjected to irradiation (LuzChem equipment) and the advance in singlet oxygen production was followed by the decrease in the characteristic band of nitrosoaniline measured at 440 nm in the spectrophotometer. The quantum yield of singlet oxygen production of hematoporphyrin was found using the quantum yield of rose bengal as a reference. Determination of the production of 1O2 of the H2TCPP was taken as a function of the absorbance variation in the time of irradiation at 15440 Lux. The quantum yield of 1O2 production of H2TCPP was determined to be 0.65 for an irradiation time of 110 minutes. This value shows that this porphyrinic compound generates enough singlet oxygen to be used as a photosensitizer.

 

The determination of photoinduced singlet oxygen 1O2 generation and its quantum yield was also carried out for hematoporphyrin with 9,10-diphenylanthracene. This compound is an efficient 1O2 scavenger and its disappearance kinetics can be followed by UVA-Vis spectrophotometry by its gradually decreasing absorbance at 374 nm [12, 13]. Irradiation of hematoporphyrin with visible light under oxygen was carried out in the presence of diphenylanthracene in chloroform. Irradiation at these wavelengths does not affect diphenylanthracene. The 1O2 quantum yields were found to be 0.61 ± 0.03 for hematoporphyrin.

 

3. Results and Discussion

 

3.1. Hematoporphyrin (H2TCPP) photostability.

 

In order to know the wavelength that corresponds to the maximum absorbance of cyromazine, 207.5 nm, an absorption spectrum was performed from 200 to 650 nm.

 

To verify the use of hematoporphyrin as a photosensitizer, an absorption spectrum was taken, clearly observing the intense band located between 350 and 700 nm (See figure 2). The intensity of the band indicates that UV-Visible radiation can be used to excite this photosensitizer. Figure 2 shows that the absorbance of hematoporphyrin is not affected by irradiation. This means that this photosensitizer molecule is not broken down by light. The thermal stability is verified since the sample, when subjected to irradiation, increases its temperature from 26 °C to 53 °C and the absorbance is maintained. Finally, it should be clarified that H2TCPP, in addition to being able to be used as a photosensitizer, is commercial and non-toxic, so its use favors both the economic and environmental aspects.

 

 


 

 

Figure 2. Absorption spectra and thermal and photochemical stability of H2TCPP.

 

 


3.2. Using a high performance liquid chromatograph (HPLC).

 

Samples of the H2TCPP mixture (1x10-5 M) were taken at various concentrations of cyromazine (from 0.5x10-5 M to 9x10-5 M). They were injected into the chromatograph manually and an area was obtained for each concentration, with them a linear adjustment of the area as a function of concentration was performed to obtain the equation of the straight line that corresponds to the calibration curve. Then, aliquots of the mixture of H2TCPP and cyromazine were taken at different irradiation times at 15440 Lux from (0 min to 100 min with 10 min intervals) to obtain the area for each irradiation time. Subsequently, using the calibration curve obtained previously, the concentration at the different irradiation times was determined. Finally, the logarithm of the ratio of the concentration over time between the initial as a function of time was plotted.

 

Applying regression through least squares it was possible to determine the first-order kinetic constant. The following figures show the absorption spectrum of cyromazine and its HPLC chromatogram. The cyromazine solution was irradiated for 70 min at 1544 Lux.


 

 

 

Figure 3. (a) HPLC chromatography of cyromazine before irradiation. (b) HPLC chromatography of cyromazine after irradiation.

 


 

3.3. Photodegradation of cyromazine en presence of H2TCPP.

 

It is noteworthy that under Argon atmosphere the cyromazine photodegradation reaction does not occur completely. Only the Melamine compound was determined as a product of the photosensitized reaction (Figure 4). Which could indicate a photoinduced electron transfer reaction from hematoporphyrin to cyromazine. In the presence of oxygen, the formation and subsequent intervention of singlet oxygen are evident. The formation of two photoproducts were determined by GC-mass: melamine and ammelide.

 


 

Figure 4. Photocatalytic reaction products (left) melamine, (right) ammelide.

 


Once the kinetics of the reaction was obtained, a mass spectrum was taken of the solution obtained after 70 minutes of irradiation in order to know the molecular weight of the compounds formed and to be able to identify them.

 

This study was carried out through a mass spectrometer where the relative abundance of the compound is reported based on the charge/mass ratio (m/z), obtaining: the main product would be given by the peak of 125.17, which is equivalent to a molecular weight of 126.17 g/mol which coincides with melamine and the other representative peak is located at 127.16 which is equivalent to a molecular weight of 128 g/mol corresponding to ammelide) (8, 9). The major photoproduct would be given by the peaks of 125.17 m/z (100, M+), 109.16 (46, M+ - NH2), which are equivalent to a molecular weight of 126.17 g/mol which coincides with melamine. The other representative peaks are located at 127.16 m/z (60, M+), 110 (18, M+-OH) which are equivalent to a molecular weight of 128 g/mol corresponding to the ammelida (Figure 4). In a lower proportion, the formation of hydroxylamino derivative of melamine was also detected, 142 m/z (5).       

 

3.4. Determination of reaction kinetics.

 

In the graph shown, it is clearly observed that the concentration decreases exponentially with respect to time, so based on the following equation, it is concluded that it is first-order kinetics. Theoretically, this result is reasonable, since it is a reaction of the form:

 

C + B  -------  Products

 

Where C is cyromazine and B is the oxygen present in the medium. As oxygen is considered a reactive in excess, its concentration variation will be negligible compared to that of cyromazine, therefore, the kinetics will depend only on the concentration of cyromazine.

 

After performing a least squares fit the results obtained and considering that the points fit the behavior given by the given equation, the kinetic constant corresponding to a first-order equation was obtained. Being k = 0.0453 ± 0.0005 with units of s-1 because it is a first-order kinetics.

 

d [Cyromazine] / dt   -------   0.0453 [Cyromazine]

 


 

 

 

Fig%204.pngGráfico, Gráfico de dispersión

Descripción generada automáticamente

Figure 5. Photocatalytic degradation of cyromazine (1x10-3 M) in the presence of hematoporphyrin (1x10-5 M) (left) and linear regression of the kinetic equation (right).

               


3.5. Photocatalytic reactor design.

 

For the design of the photocatalytic reactor, a continuous flow reactor is considered in the first place based on the system under study, specifically, piston type (FPR, flow photocatalytic reactor), which ensures a greater contact area with the energy source, easy implementation, and maintenance, in addition, allows a high conversion by the differential in the volume of the reactor. For its design, it is considered that the pressure and temperature are constant throughout it. Following the results obtained from the cyromazine degradation study, the kinetics of the reaction were determined and the reactor was designed, making a balance of matter in a differential volume of the reactor, to finally obtain an expression for the volume of the reactor as a function of the flow of water to be purified.

 

The following figure 6 schematizes the algorithm for reactor design as a flow chart.

 

 


 

Figures/Fig%202%20ing.jpg

Figure 6. Algorithm for the design of the photocatalytic reactor.

 


Once the values of the kinetic constant and of the conversion are known, the equation deduced to calculate the volume of the reactor is based on the initial flow rate at its inlet. This variable can be manipulated depending on the amount of water to be treated. In addition, the volume is directly proportional to the treated flow rate, so its choice also depends on the volume required for the reactor. In addition, the volume is directly proportional to the treated flow rate, so its choice also depends on the volume required for the reactor (see figures 7 and 8).

 


 

Gráfico, Gráfico de líneas

Descripción generada automáticamente

Figure 7. The volume of the tubular reactor is a function of the flow rate of treated water.

 

 

Figure 8. Schematic diagram of the reactor.

 


 

4. Conclusions

 

Water purification by UV is a safe, versatile, and competitive method compared to traditional purification methods. This photosensitized and porphyrin-catalyzed oxidation technique in aerobic environments has also been shown to have (current research on processes) highly effective bacterial inactivation. Its compatibility with other purification techniques enables many applications for the treatment of well water, wastewater and irrigation systems. The use of this technology and the development of applied research in water purification processes provide a very fertile field for many future projects. The importance of photochemistry in the degradation of pesticides under ambient conditions has been widely demonstrated, emerging as a possible technological solution for the complete mineralization of pesticides, with higher efficiencies and lower costs than conventional methodologies. However, it would be convenient to mention that the experimental studies to date have been directed towards the conditions related to the chemical characteristics of water. A better understanding of the natural system could provide parameters that optimize the current methods of degradation of pesticides, among other chromophore contaminants.

 

References

 

[1] Orozco, C., Pérez, A., González, M., Rodríguez, F., Alfayate, J., «Contaminación ambiental. Una visión desde la química,» Thompson Editores, 2003.

[2] Glaze, W., Kang, J., Chapin, D., «The chemistry of water treatment processes involving ozone, hydrogen peroxide and ultraviolet radiation,» Ozone Science and Engineering, vol. 9, pp. 335-352, 1987

[3] Safarzadeh-Amiri A., Bolton J., Cater S. «The use of iron in advanced oxidation processes,» Journal of Advanced Oxidation Technologies, vol. 1, pp. 18-26, 1996.

[4] Mendoza, J., Montañés, M., Palomares, A., «Ciencia y tecnología del medioambiente,» Servicio de Publicaciones Universidad Politécnica de Valencia, 1998.

[5] Center for Enviromental Research Information. «National risk management research laboratory. Office of research and development. U.S. enviromental protection agency. Handbook Advanced Photochemical Oxidation Processes, » Cincinnati, Ohio 45266, 1998.

[6] García-Ripoll, A., Amat, A., Arques, A., Vicente, R., Lopez, M., Oller, I., Maldonado, M., Gernjak, W., «Detoxification and/or increase of the biodegradability of aqueous solutions of dimethoate by means of solar photocatalysis, » Chemosphere, vol. 68, pp. 293-300, 2007.

[7] Malato, S., Blanco, J., Vidal, A., Richter, C., «Photocatalysis with solar energat a pilot-plant scale: an overview, » Applied Catalysis B: Environmental, vol. 37, pp. 1-15, 2002.

[8] Goutallier, G., Valette, J., Guillard, C., Faure, R., «Photocatalyse degradation of cyromazine in aqueous titanium dioxide suspensions: Comparison with photolysis,» Journal of Photochemistry and Photobiology A., vol. 141(1), pp. 79-84, 2001.

[9] Tsartsail, N., Samanidou, V., «Sample preparation of eggs from laying hens using quechers dispersive extraction for the simultaneous determination of melamine and cyromazine residues by HPLC-DAD,» Analytical Chemistry Insights, vol. 10(1), pp. 53-58, 2015.

[10] Srivastava, R., Anand, V., Carper, W., «A fluorescence study of hematoporphyrin,» Applied Spectroscopy, vol. 27, pp. 444-449, 1973.

[11] Zoltan, T., Vargas, F., Izzo, C., «UV-Vis Spectrophotometrical and analytical methodology for the determination of singlet oxygen in new antibacterials drugs.,» In: Dyes and Drugs. New uses and Implications, Harold H. Trimm and William Hunter. Apple Academic Press CRC Press, Taylor & Francis Group., Inc. Oakville, ON L6LOA2, Canada. Cap. 3, pp. 35-49. 2011. International Standard Book Number 13: 978-1-4665-6261-5.

 [12] Li, B., Lin L., Lin, H., Xie, S., «Singlet oxygen quantum yields of porphyrin-based photosensitizers for photodynamic therapy,» Journal of Innovative Optical Health Science, vol. 1, pp. 141-149, 2008.

[13] Owens, J., Grimes, K., Goa, K., Mcmahon, L., «Quantum yield measurements on some new hematoporphyrin mixtures, including zinc and HpD precursor,» Inorganica Chimica Acta, vol. 195(1), pp. 117-122, 1992

 

 

 

 

 



[1] Laboratorio de Fotoquímica, https://orcid.org/0000-0001-8170-7793 , E-mail: vargas2212@gmail.com, Tlf. 00582 5041338.

[2] Laboratorio de Fotoquímica, https://orcid.org/0009-0004-5030-7745 ; ortega.jessenia@gmail.com

[3] Laboratorio de Físicoquímica Orgánica, Centro de Química “Dr. Gabriel Chuchani”, Investigador Independiente; malecarriz27@gmail.com

[4] Laboratorio de Físicoquímica Orgánica, Centro de Química “Dr. Gabriel Chuchani”, https://orcid.org/0000-0002-5711-6202 ; alemaldon@gmail.com

[5] Laboratorio de Biogeoquímica, Centro de Ciencias Atmosféricas y Biogeoquímica, Instituto Venezolano de Investigaciones Científicas – IVIC, https://orcid.org/0000-0002-7138-7797 ; angulobcs@gmail.com